欢迎访问重庆市轻工业学校官方网站『公办国家级重点中职学校』『重庆市首批示范校』
官网手机版
|
办事大厅
网站首页
学校概况
机构设置
党建工作
人才培养
招生培训
发展研究
学生园地
成绩公示
招生信息
社培与鉴定
优秀毕业生
招生人员信息
专业介绍
您的位置:
首页
>
招生培训
>
社培与鉴定
>
成绩公示
> 内容
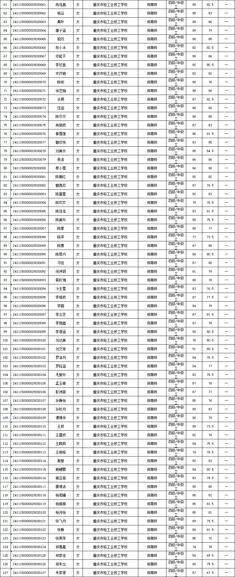
职业技能等级认定成绩花名册100批20241127
发布日期:2024-12-02 12:21:22
根据《重庆市职业技能等级认定考试考务工作规程( 试行 ) 的通知》(渝职鉴发[2021]23 号 ) 文件精神,重庆市轻工业技工学校现将 2024年11月27日组织的共1个批次共127人职业技能等级认定成绩进行公示 (见附件)。 公示期为发布之日起计算 5 天,如对个人成绩有疑问,请在公示期内提出成绩复核申请,公示期结束,不再接受复核申请.
职业技能等级认定成绩花名册100批.xlsx
相关热词搜索:
上一篇:
职业技能等级认定成绩花名册98/99批20241125
下一篇:
职业技能等级认定成绩花名册111批20241129