欢迎访问重庆市轻工业学校官方网站『公办国家级重点中职学校』『重庆市首批示范校』

重庆市轻工业学校logo_name

成绩公示

您的位置: 首页 > 招生培训 > 社培与鉴定 > 成绩公示 > 内容

职业技能等级认定成绩花名册18批20250809

发布日期:2025-08-11 09:51:00     

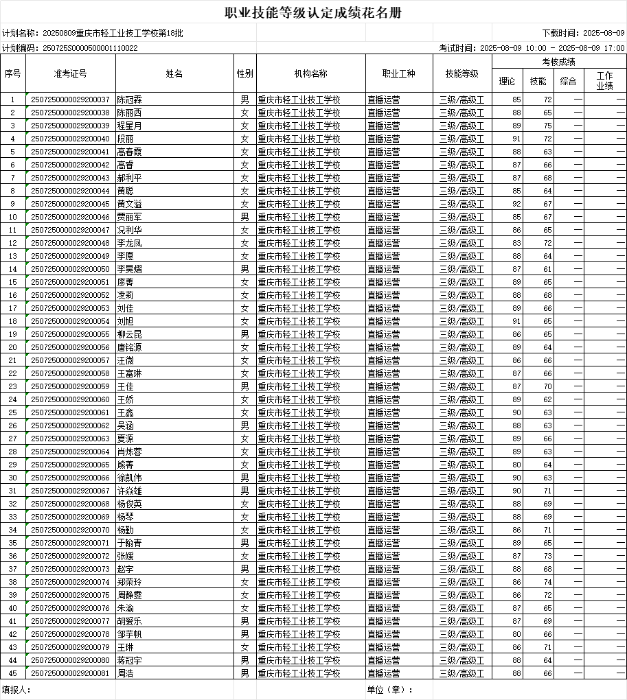
根据《重庆市职业技能等级认定考试考务工作规程( 试行 ) 的通知》(渝职鉴发[2021]23 号 ) 文件精神,重庆市轻工业技工学校现将 2025年08月09日组织的共1个批次共45人职业技能等级认定成绩进行公示 (见附件)。 公示期为发布之日起计算 5 个工作日(即2025年8月11日-2025年8月15日),如对个人成绩有疑问,请在公示期内提出成绩复核申请,公示期结束,不再接受复核申请。 联系方式:雷老师17783053868、艾老师15213320351
职业技能等级认定成绩花名册18批.xlsx

相关热词搜索:

上一篇:职业技能等级认定成绩花名册17批20250808
下一篇:职业技能等级认定成绩花名册19批20250829