欢迎访问重庆市轻工业学校官方网站『公办国家级重点中职学校』『重庆市首批示范校』

重庆市轻工业学校logo_name

成绩公示

您的位置: 首页 > 招生培训 > 社培与鉴定 > 成绩公示 > 内容

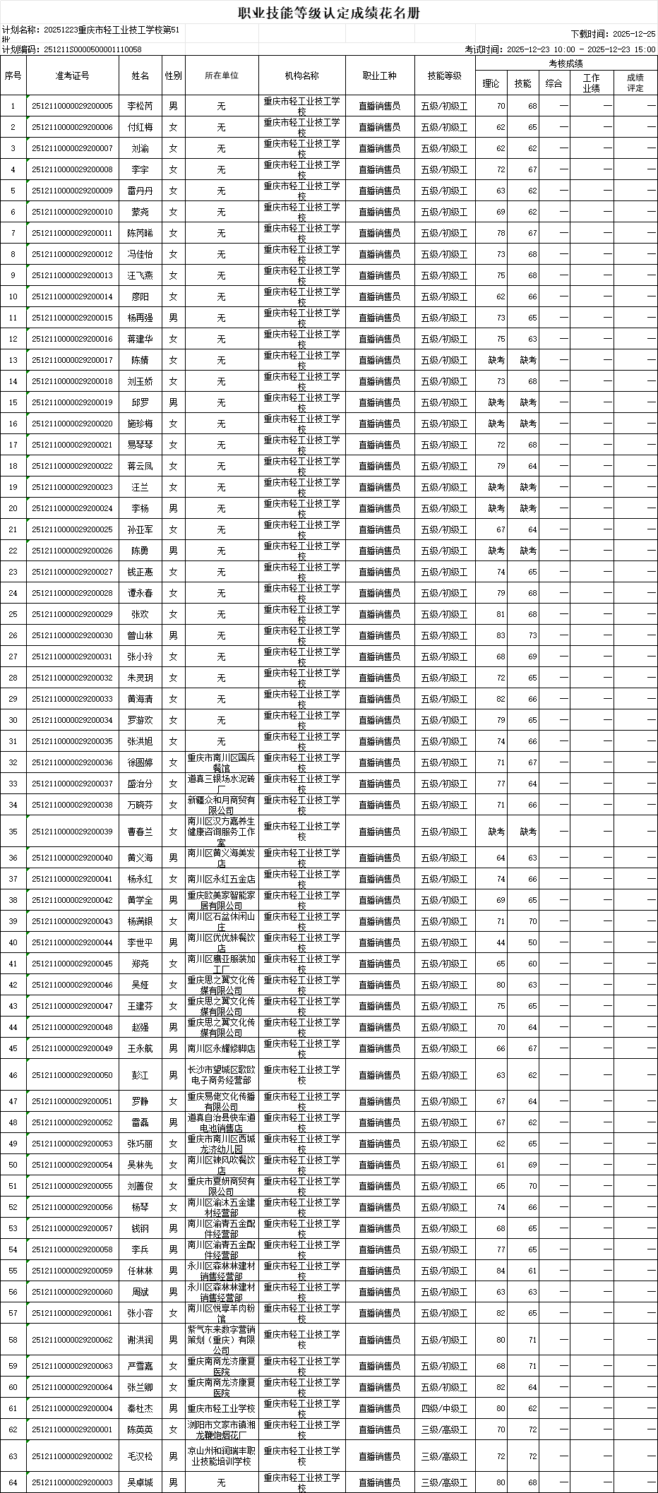
职业技能等级认定成绩花名册51批20251223

发布日期:2025-12-25 10:13:00     

根据《重庆市职业技能等级认定考试考务工作规程(试行)的通知》(渝职鉴发[2021123号)文件精神,重庆市轻工业技工学校现将2025年12月23日组织的1个批次共64人职业技能等级认定成绩进行公示(见附件)。公示期为发布之日起计算5 个工作日(即2025年12月25日-2025年12月31日),如对个人成绩有疑问,请在公示期内提出成绩复核申请,公示期结束,不再接受复核申请。 联系方式:雷老师17783053868、艾老师15213320351; 投诉电话023-86089665,邮箱411627445@qq.com

职业技能等级认定成绩花名册51批.xlsx


相关热词搜索:

上一篇:职业技能等级认定成绩花名册50批20251222
下一篇:职业技能等级认定成绩花名册52批20251224